Skip to main content

科技圈🎗在花频道📮

【莫谈国事】 大家多多分享
• 禁止推广/黑产/刷屏/色情/ NSFW
• 禁止黄赌毒/宗教/政治/键政
• 禁止撕逼/人身攻击/阴阳怪气

群聊: @ZaihuaChat
备用频道:@zaihuatg

侵权/解封/帮助:
@zaihuaAskBot
广告合作:
@zaihua_ad_bot
终极反馈 @zaihua
  1. 谷歌发布 Android 任务自动化框架,Gemini 可直接操作第三方应用

    谷歌宣布推出 Android 任务自动化框架,使 Gemini 助手能够直接操作 Uber 和 Grubhub 等第三方应用。该功能基于 Android 16 的 AppFunctions 接口及 UI 自动化框架。开发者可借此向 AI 代理开放特定功能,其逻辑类似于 Model Context Protocol(MCP)。

    对于未适配应用,Gemini 将通过 UI 识别自主执行任务。该功能首批在美、韩境内的 Pixel 10 系列与三星 Galaxy S26 系列(OneUI 8.5)开启预览,并拟在 Android 17 中进一步推广。

    9To5Google | The Verge

    🍀在花频道 🍵茶馆聊天 📮投稿
    👍 412 😁 31 🤯 13 ❤️ 8 👀 7 👎 5 🤔 5 🍌 3
  2. 美团关联公司申请注册“美团拼好房”商标

    天眼查知识产权信息显示,美团关联公司北京三快科技有限公司近日申请注册 3 枚“美团拼好房”商标。该批商标的国际分类涉及科学仪器、金融物管及餐饮住宿,目前状态均为等待实质审查。

    北京三快科技有限公司成立于 2007 年 4 月,注册资本达 54.8 亿人民币,法定代表人为钟永健,由王兴与穆荣均共同持股。其经营范围涵盖软件销售、互联网销售及信息系统集成服务等。

    天眼查 | 证券之星

    🍀在花频道 🍵茶馆聊天 📮投稿
    🤯 406 🤣 112 👎 26 ❤️ 10 😁 9 👍 5 😨 4 👨‍💻 2
  3. 科技圈🎗在花频道📮
    ♻️ 英伟达第二财季业绩强劲 但中国市场不确定性影响前景 英伟达公布第二财季收入467亿美元,同比增长56%,净利润264亿美元,同比增长59%。数据中心营收411亿美元,Blackwell芯片贡献270亿美元。公司预计第三季度收入540亿美元,上下浮动2%。 对华销售仍存不确定性。H20芯片本季度未向中国出货,仅向中国外客户售出6.5亿美元。美方非常规安排要求缴纳15%出口税,相关许可和中国监管态度未明。股价盘后下跌约3.2%,公司同时批准额外600亿美元回购计划。 TechCrunch | Reuters…
    英伟达Q4营收681亿美元超预期,下季度指引上调至780亿美元

    英伟达第四财季营收达681亿美元,其中数据中心业务贡献623亿美元,两项核心指标及1.62美元的每股利润均高于市场预期。公司预计2027财年第一季度销售额将达到780亿美元,这一指引显著超过华尔街此前预测的726亿美元。受此财报提振,英伟达美股盘后股价涨幅超过3%。

    首席执行官黄仁勋称计算需求呈指数级增长,并表示公司已通过战略手段确保库存以应对供应链压力。尽管游戏与汽车业务营收未达预期,且部分投资者担忧OpenAI融资能力及行业竞争加剧,但市场分析认为英伟达目前仍持有人工智能硬件市场的领先地位。

    金十数据

    🍀在花频道 🍵茶馆聊天 📮投稿
    👍 99 👎 32 💊 17 ❤️ 8 🤯 4 😁 1
  4. 科技圈🎗在花频道📮
    《极客湾曝光手机厂商媒体送测机乱象》的视频目前在B站已被下架 哔哩哔哩(已下架) | 补档下载 | Youtube(已下架) | 作者回应 🍀在花频道 🍵茶馆聊天 📮投稿
    极客湾手机性能大横评YouTube视频下架,字节豆包 AI 被曝新增禁止讨论的提示词

    极客湾手机性能大横评在 YouTube 频道上显示私有。另外有网友发现字节豆包的系统提示词中已注入“内容安全专项”约束,回复不允许出现极客湾视频被下架、极客湾公开源文件的内容。

    频道补档 | Youtube(已下架)

    🍀在花频道 🍵茶馆聊天 📮投稿
    🤣 830 😁 58 🤯 28 🫡 24 👎 16 ❤️ 15 🌚 6 👍 3
  5. 科技圈🎗在花频道📮
    中国禁止科技公司采购英伟达 AI 芯片 中国网信办本周通知字节跳动、阿里巴巴等大型科技公司,停止测试和订购英伟达专为中国市场定制的 RTX Pro 6000D 芯片。此前多家公司已表示将订购数万片该芯片,并已开始与英伟达服务器供应商进行测试验证工作。 这一禁令超越了此前主要针对 H20 芯片的监管指导,标志着北京加大力度推动国产半导体产业发展。中国监管部门认为,国产芯片性能已达到或超过英伟达在华销售产品的水平,足以满足市场需求而无需采购英伟达芯片。 Financial Times 🍀在花频道 🍵茶馆…
    DeepSeek 拒绝向英伟达等美企提供新模型优化权限,优先转向华为

    路透社 2 月 25 日援引消息人士称,DeepSeek 在发布旗舰模型 V4 前,未按行业惯例向英伟达(Nvidia)和 AMD 提供优化权限,而是优先向华为等本土供应商开放。

    美国官员披露,DeepSeek 疑似在华使用 Blackwell 芯片训练模型,涉嫌违反出口管制。研究机构分析认为,此举旨在削弱美国硬件在华竞争力。DeepSeek 计划宣称其模型系由华为芯片训练,以规避技术监管。

    路透社

    🍀在花频道 🍵茶馆聊天 📮投稿
    👏 375 🤣 202 👍 45 👎 32 😁 13 🤪 13 🫡 8 ❤️ 3
  6. 三星发布 Galaxy S26 Ultra:2 亿像素 F1.4 主摄 + 内置防窥显示屏

    三星发布 Galaxy S26 Ultra,2 亿像素主摄光圈升级至 F1.4,配 5,000 万像素 5 倍长焦(最高 10 倍光学品质变焦)和 5,000 万像素超广角,并称夜拍亮度分别提升 47% 与 37%。

    搭载 Snapdragon 8 Elite Gen 5 for Galaxy,NPU 性能提升 39%,mDNIe 图像处理精度提升 4 倍,配备升级的均热板;同时宣称为全球首款内置防窥显示屏的手机(支持全局和局部防窥功能);国行卡槽类型为 SIM 1 + SIM 2 / SIM 1 + eSIM / Dual eSIM;存储最高 1 TB + 16 GB。

    三星电子中国

    🍀在花频道 🍵茶馆聊天 📮投稿
    ❤️ 188 🤯 61 👍 32 👎 10 😁 6 🆒 5 🔥 3 🥰 1
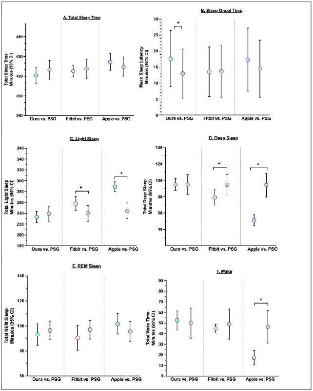
  7. 消费级睡眠监测设备准确性研究:睡眠分期准确率最低仅50%

    一项针对Oura Ring、Fitbit和Apple Watch等主流消费级睡眠监测设备的研究显示,这些设备在区分睡眠与清醒状态时准确率超过95%,但在识别具体睡眠阶段时表现欠佳。实验数据表明,设备对深睡、浅睡及快速眼动期的识别准确率波动于50%至86%之间,部分设备存在显著的阶段性估算偏差。Oura Ring在各项指标上与医学金标准多导睡眠图最为接近,而Apple Watch和Fitbit在深睡与浅睡的判定上表现出较大差异。

    此类设备主要依靠加速度计和光电传感器间接推测睡眠状态,其算法权重差异导致不同品牌间的数据存在明显冲突。由于无法直接监测脑电波等生理信号,消费级设备目前更适用于观察长期睡眠趋势而非进行精确的临床诊断。研究建议用户应更多关注身体的主观感受,避免因单日监测数据的波动产生过度焦虑。

    Sensors (Basel, Switzerland) | 快科技

    🍀在花频道 🍵茶馆聊天 📮投稿
    🤔 133 😁 31 ❤️ 18 😇 6 👍 3 😴 2
  8. 华尔街激辩 AI 失业风险:Citrini 模拟 10.2% 失业率遭城堡证券反驳

    Citrini Research 发布报告模拟 2028 年 AI 引发全球智能危机,推演失业率升至 10.2% 且标普 500 指数下跌 38% 的极端情景。该报告引发软件及金融股波动,作者随后澄清这仅是假设情景而非确定性预测。白宫经济学家及德意志银行等机构批评该推演违反基本经济逻辑,称其为科幻小说。

    城堡证券发布报告反驳称,目前软件工程师招聘需求同比增长 11%,且数据中心建设正带动建筑业就业。其宏观策略师认为 AI 扩散遵循 S 曲线规律,更可能成为劳动力的补充工具而非完全替代。分析指出 AI 替代人力受算力边际成本及政府财政干预等多重因素限制,难以形成持续性负面冲击。

    城堡证券 | Bloomberg | Citrini Research | 华尔街见闻

    🍀在花频道 🍵茶馆聊天 📮投稿
    😱 86 🤣 30 😁 7 ❤️ 5 👍 4 🤔 2 🤯 1 🥴 1
  9. 青龙面板遭挖矿木马植入导致CPU占用达800%

    2026年2月7日,多名用户发现青龙面板被植入名为.fullgc的挖矿木马,导致服务器CPU占用率异常升至800%。该木马通过篡改config.sh配置文件实现持久化,并能根据系统架构自动下载恶意程序。排查结果显示,暴露于公网IPv4环境的服务器是该木马的主要攻击目标。

    安全机构判定该程序属于SusMiner家族,主要通过连接XMR矿池进行非法挖矿。GitHub社区已出现多例相关案例报告,建议用户检查/ql/data/db/路径下的隐藏文件。受影响用户需清理恶意代码并关闭公网管理端口以防范后续风险。

    qxhut.com | GitHub(1, 2)

    🍀在花频道 🍵茶馆聊天 📮投稿
    1 😱 241 😁 65 ❤️ 7 🤔 5 🤯 5 🥰 2 😨 1
  10. 科技圈🎗在花频道📮
    印度取消智能手机核心部件进口关税,利好苹果小米等手机厂商 印度政府于2月1日宣布取消智能手机关键零部件的进口关税,此举将显著降低跨国科技企业在印生产成本。财政部长西塔拉曼在年度预算中披露,包括摄像头模组、印刷电路板组件及USB数据线在内的核心部件关税从原2.5%降为零。这项结构性调整预计将使苹果、小米等深耕印度市场的手机制造商直接受益。 印度IT部曾警告,若维持现有税制,印度可能错失全球供应链重构机遇,被中国和越南竞争对手超越。分析指出,该政策既是对美国潜在贸易保护主义的未雨绸缪,也是在中美贸易摩擦背景下吸引产业转移的战略举措。…
    小米向印度最高法院提起上诉,挑战 7200 万美元税务裁决

    小米公司(Xiaomi)已向印度最高法院提起上诉,挑战税务法庭关于其逃避 7200 万美元关税的裁决。该裁决认定小米在 2020 年前的三年内,未将支付给高通(Qualcomm)等公司的特许权使用费计入零部件进口价值。小米主张关税应由代工厂支付,且相关费用与进口无关。

    若最终败诉,小米面临的追缴总额及利息或超 1.5 亿美元。目前,最高法院已要求印度政府对小米的诉求作出回应。此前,小米在印度的 6.1 亿美元资金已因非法汇款指控被冻结,其市场份额也从高峰时期的 31% 降至 12%。

    路透社

    🍀在花频道 🍵茶馆聊天 📮投稿
    🤣 195 🤨 78 🤪 15 ❤️ 9 👍 6 😁 5 🤔 2
  11. Google 限制 Antigravity 平台访问,指控 OpenClaw 用户“恶意使用”

    Google 以“恶意使用”为由,限制了开发者对其 Antigravity 平台的访问。Google DeepMind 工程师 Varun Mohan 表示,部分用户通过开源 AI 代理 OpenClaw 调用过量 Gemini token,导致系统服务降级并影响其他客户。

    受此影响,多名将 OpenClaw 关联至 Gmail 的用户反馈其 Google 账号访问受限。OpenClaw 创始人 Peter Steinberger 随后宣布将停止支持 Google 平台。Google 称目前正尝试恢复受影响用户的访问权限,但强调此举旨在保护服务器负载。

    VentureBeat

    🍀在花频道 🍵茶馆聊天 📮投稿
    😁 224 🤪 29 👎 20 ❤️ 14 🤣 8 👍 3
  12. 传音旗下 Tecno 发布模块化概念手机,支持磁吸扩展多种功能模块

    传音旗下的中国手机品牌 Tecno 在 MWC 2026 前夕展示了名为“模块化磁吸互联技术”的概念手机。该设备基座厚度仅 4.9mm,通过磁吸架构及 Wi-Fi、蓝牙、毫米波技术与外部模块连接。目前已开发运动相机、长焦镜头及离网通信工具等 10 款扩展模块。与谷歌 Project Ara 不同,Tecno 方案更侧重于功能插件的灵活组合而非核心硬件更换。公司将其定位为长期设计研究项目,暂未公布量产及定价计划。

    9To5Google

    🍀在花频道 🍵茶馆聊天 📮投稿
    1 🤯 213 👍 99 👾 20 ❤️ 12 😁 9 👎 3 😍 3 🥰 2
  13. 韩国拟下调未成年人刑事责任年龄,总统要求两个月内作出决定

    韩国总统李在明 2 月 24 日指示政府部门,就是否下调未成年人刑事责任年龄征求民意,并要求相关部门在两个月内作出决定。根据韩国现行法律,14 岁以下人群不承担刑事责任。韩国法务部提议将该年龄标准降至 13 岁,以应对青少年犯罪激增现状。数据显示,2024 年韩国 10 至 14 岁犯罪人数超过 2 万人,较 2022 年增长 26.6%。韩国女性家庭部对此持谨慎态度,认为不能仅靠调整年龄解决问题。

    新华社

    🍀在花频道 🍵茶馆聊天 📮投稿
    👍 349 🫡 26 🎉 6 😁 5 ❤️ 4 👎 4 🌚 4
  14. 中国科学院将停止支付 Nature Communications 等 30 余种高价期刊论文处理费

    中国科学院( CAS )拟于 2026 年 3 月 1 日起施行新规,禁止科研人员使用院内经费支付 30 多种高收费国际开放获取( OA )期刊的论文处理费( APC )。受影响期刊包括 Nature Communications 、 Cell Reports 及 Science Advances 等,其单篇 APC 均不少于 5000 美元,远超约 2000 美元的全球均价。

    此举旨在控制科研成本并提升本土期刊发展。新规下,科研人员若无其他资金来源,在 Nature 等混合期刊发表论文时需选择非 OA 模式以减免费用。

    Science

    🍀在花频道 🍵茶馆聊天 📮投稿
    👍 272 🤣 81 👌 14 👎 8 ❤️ 6 😁 6
  15. 科技圈🎗在花频道📮
    🚘 特斯拉正在开发 🍏 Apple CarPlay 支持以提振汽车销量 据知情人士透露,特斯拉正在为其车辆开发 Apple CarPlay 系统支持,这是客户最迫切要求的功能之一。该公司已开始内部测试这一功能,计划在未来几个月内推出,但具体发布时间尚未最终确定。 这标志着特斯拉和 CEO 马斯克的重大转变,此前他们长期忽视用户对 CarPlay 功能的呼声。麦肯锡 2024 年研究显示,约三分之一的买家表示缺乏 CarPlay 或 Android Auto 支持会影响购车决定。特斯拉计划在其界面内以窗口形式集成…
    Tesla 代码披露 CarPlay 集成细节,或随 iOS 26 推出

    Tesla 车机代码最新披露了 CarPlay 的集成细节。该功能将以沙盒窗口形式运行,而非全屏覆盖,以确保 Tesla 原生 UI 和 Autopilot 界面持续可见。针对此前 Apple Maps 与 FSD 的导航冲突,双方已通过 iOS 26 的新 API 达成兼容。

    受 VRAM 显存需求限制,该功能仅支持搭载 Ryzen 或 AI4+ 芯片的新款车型,不支持 Intel 芯片。为确保系统稳定性,该功能的正式发布预计将配合 iOS 26 的推广节奏进行。

    Tesla Newswire

    🍀在花频道 🍵茶馆聊天 📮投稿
    1 👍 158 ❤️ 9 😁 4 👎 3
  16. 科技圈🎗在花频道📮
    14 岁初中生 6 天打通《迷你世界》与 Minecraft 跨平台联机 一名 14 岁初中生称用手机上的 ZeroTermux 逆向《迷你世界》登录与进服协议,并用 gophertunnel 实现基岩版协议转发翻译,从而实现《迷你世界》与 Minecraft 的跨平台联机。 目前已支持方块显示、聊天互通、移动与挖掘等基础功能;但由于双方对 x 轴的定义不同,出现了“方块镜像”等问题,且仍有大量功能尚未完善。此前他还曾实现将《迷你世界》存档转换为《我的世界》存档,方块映射表多达 1000+ 项。 哔哩哔哩/是只耶吧…
    迷你世界与 Minecraft 跨平台联机视频被下架

    哔哩哔哩认定由于视频内容全程存在涉及破解软件、硬件的推广、售卖、教学等修改建议,发布含有绕过正版验证、破解授权机制、引导用户获取/使用破解工具等可能涉及非法获取软件服务、侵犯知识产权的片段内容(包括但不限于画面、素材、文字、音声等)。

    哔哩哔哩将对威胁到网络技术服务稳定和网络信息安全的行为予以严惩,确保广大用户的合法权益不受到侵害。

    哔哩哔哩/是只耶吧(已不可用) | 频道补档

    🍀在花频道 🍵茶馆聊天 📮投稿
    🤣 716 👎 65 😁 17 🤯 14 👍 6 ❤️ 3 😱 3 🫡 3
  17. Uber 员工使用 CEO AI 克隆进行汇报预演

    Uber 首席执行官 Dara Khosrowshahi 近日透露,公司部分团队开发了名为“Dara AI”的数字克隆,用于在向其本人正式汇报前进行演示预演。该 AI 工具可协助员工微调幻灯片及演讲细节。Khosrowshahi 在播客节目中表示,虽然 AI 能处理海量数据,但在基于实时新信息进行决策方面仍面临挑战,目前尚无法完全取代高管职能。

    目前 Uber 约 30% 的程序员已成为 AI 深度用户。Khosrowshahi 指出,若 AI 能够显著提升工程效率,公司未来可能会优先增加 GPU 等算力资源投入,而非单纯扩张工程师员额。

    Business Insider

    🍀在花频道 🍵茶馆聊天 📮投稿
    🆒 106 👻 18 🗿 7 ❤️ 6 👍 1 😁 1 👾 1
  18. 科技圈🎗在花频道📮
    中芯国际 N+3 工艺制造麒麟 9030 芯片,向 5nm 技术迈进 TechInsights 最新分析显示,华为麒麟 9030 应用处理器采用中芯国际 N+3 工艺制造,这是该代工厂在早期 N+2(7nm 级)技术基础上的缩放演进版本。 尽管中芯国际在基于 DUV 的图案化和 DTCO 技术方面实现了显著创新,但 N+3 工艺在绝对规模上仍远不及台积电和三星的 5nm 工艺。该工艺预计将面临重大良率挑战,特别是在使用 DUV 多重图案化技术激进缩放金属间距方面。 TechInsights 🍀在花频道…
    中国主要芯片商拟大幅扩产先进半导体,应对 AI 需求增长

    据日经新闻报道,中芯国际、华虹半导体及华为关联芯片商正计划扩大 7 纳米及 5 纳米制程产能。消息人士称,中国拟在 1 至 2 年内将先进芯片月产量从不足 2 万片提升至 10 万片,并设定 2030 年新增 50 万片产能的目标。

    此外,除 3440 亿元的大基金三期外,决策层拟另设 2000 亿至 5000 亿元的专项资金,以应对美国技术管制并支持国内 AI 产业需求。

    联合早报 | 日经新闻

    🍀在花频道 🍵茶馆聊天 📮投稿
    👍 184 😨 23 🤣 14 👎 5 😁 4 ❤️ 3 1