Skip to main content

消费级睡眠监测设备准确性研究:睡眠分期准确率最低仅50%一项针对Oura Ring、Fitbit和Apple Watch等主流消费级睡眠监测设备的研究显示,这些设备在区分睡眠与清醒状态时准确率超过95%,但在识别具体睡眠阶段时表现欠佳

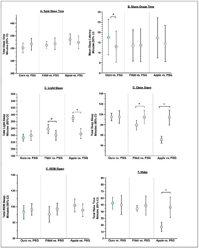
  1. 消费级睡眠监测设备准确性研究:睡眠分期准确率最低仅50%

    一项针对Oura Ring、Fitbit和Apple Watch等主流消费级睡眠监测设备的研究显示,这些设备在区分睡眠与清醒状态时准确率超过95%,但在识别具体睡眠阶段时表现欠佳。实验数据表明,设备对深睡、浅睡及快速眼动期的识别准确率波动于50%至86%之间,部分设备存在显著的阶段性估算偏差。Oura Ring在各项指标上与医学金标准多导睡眠图最为接近,而Apple Watch和Fitbit在深睡与浅睡的判定上表现出较大差异。

    此类设备主要依靠加速度计和光电传感器间接推测睡眠状态,其算法权重差异导致不同品牌间的数据存在明显冲突。由于无法直接监测脑电波等生理信号,消费级设备目前更适用于观察长期睡眠趋势而非进行精确的临床诊断。研究建议用户应更多关注身体的主观感受,避免因单日监测数据的波动产生过度焦虑。

    Sensors (Basel, Switzerland) | 快科技

    🍀在花频道 🍵茶馆聊天 📮投稿
    🤔 133 😁 31 ❤️ 18 😇 6 👍 3 😴 2