Skip to main content

科技圈🎗在花频道📮

【莫谈国事】 大家多多分享
• 禁止推广/黑产/刷屏/色情/ NSFW
• 禁止黄赌毒/宗教/政治/键政
• 禁止撕逼/人身攻击/阴阳怪气

群聊: @ZaihuaChat
备用频道:@zaihuatg

侵权/解封/帮助:
@zaihuaAskBot
广告合作:
@zaihua_ad_bot
终极反馈 @zaihua
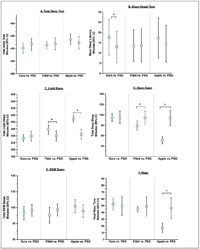
  1. 消费级睡眠监测设备准确性研究:睡眠分期准确率最低仅50%

    一项针对Oura Ring、Fitbit和Apple Watch等主流消费级睡眠监测设备的研究显示,这些设备在区分睡眠与清醒状态时准确率超过95%,但在识别具体睡眠阶段时表现欠佳。实验数据表明,设备对深睡、浅睡及快速眼动期的识别准确率波动于50%至86%之间,部分设备存在显著的阶段性估算偏差。Oura Ring在各项指标上与医学金标准多导睡眠图最为接近,而Apple Watch和Fitbit在深睡与浅睡的判定上表现出较大差异。

    此类设备主要依靠加速度计和光电传感器间接推测睡眠状态,其算法权重差异导致不同品牌间的数据存在明显冲突。由于无法直接监测脑电波等生理信号,消费级设备目前更适用于观察长期睡眠趋势而非进行精确的临床诊断。研究建议用户应更多关注身体的主观感受,避免因单日监测数据的波动产生过度焦虑。

    Sensors (Basel, Switzerland) | 快科技

    🍀在花频道 🍵茶馆聊天 📮投稿
    🤔 133 😁 31 ❤️ 18 😇 6 👍 3 😴 2
  2. 华尔街激辩 AI 失业风险:Citrini 模拟 10.2% 失业率遭城堡证券反驳

    Citrini Research 发布报告模拟 2028 年 AI 引发全球智能危机,推演失业率升至 10.2% 且标普 500 指数下跌 38% 的极端情景。该报告引发软件及金融股波动,作者随后澄清这仅是假设情景而非确定性预测。白宫经济学家及德意志银行等机构批评该推演违反基本经济逻辑,称其为科幻小说。

    城堡证券发布报告反驳称,目前软件工程师招聘需求同比增长 11%,且数据中心建设正带动建筑业就业。其宏观策略师认为 AI 扩散遵循 S 曲线规律,更可能成为劳动力的补充工具而非完全替代。分析指出 AI 替代人力受算力边际成本及政府财政干预等多重因素限制,难以形成持续性负面冲击。

    城堡证券 | Bloomberg | Citrini Research | 华尔街见闻

    🍀在花频道 🍵茶馆聊天 📮投稿
    😱 86 🤣 30 😁 7 ❤️ 5 👍 4 🤔 2 🤯 1 🥴 1
  3. 青龙面板遭挖矿木马植入导致CPU占用达800%

    2026年2月7日,多名用户发现青龙面板被植入名为.fullgc的挖矿木马,导致服务器CPU占用率异常升至800%。该木马通过篡改config.sh配置文件实现持久化,并能根据系统架构自动下载恶意程序。排查结果显示,暴露于公网IPv4环境的服务器是该木马的主要攻击目标。

    安全机构判定该程序属于SusMiner家族,主要通过连接XMR矿池进行非法挖矿。GitHub社区已出现多例相关案例报告,建议用户检查/ql/data/db/路径下的隐藏文件。受影响用户需清理恶意代码并关闭公网管理端口以防范后续风险。

    qxhut.com | GitHub(1, 2)

    🍀在花频道 🍵茶馆聊天 📮投稿
    1 😱 241 😁 65 ❤️ 7 🤔 5 🤯 5 🥰 2 😨 1
  4. 科技圈🎗在花频道📮
    印度取消智能手机核心部件进口关税,利好苹果小米等手机厂商 印度政府于2月1日宣布取消智能手机关键零部件的进口关税,此举将显著降低跨国科技企业在印生产成本。财政部长西塔拉曼在年度预算中披露,包括摄像头模组、印刷电路板组件及USB数据线在内的核心部件关税从原2.5%降为零。这项结构性调整预计将使苹果、小米等深耕印度市场的手机制造商直接受益。 印度IT部曾警告,若维持现有税制,印度可能错失全球供应链重构机遇,被中国和越南竞争对手超越。分析指出,该政策既是对美国潜在贸易保护主义的未雨绸缪,也是在中美贸易摩擦背景下吸引产业转移的战略举措。…
    小米向印度最高法院提起上诉,挑战 7200 万美元税务裁决

    小米公司(Xiaomi)已向印度最高法院提起上诉,挑战税务法庭关于其逃避 7200 万美元关税的裁决。该裁决认定小米在 2020 年前的三年内,未将支付给高通(Qualcomm)等公司的特许权使用费计入零部件进口价值。小米主张关税应由代工厂支付,且相关费用与进口无关。

    若最终败诉,小米面临的追缴总额及利息或超 1.5 亿美元。目前,最高法院已要求印度政府对小米的诉求作出回应。此前,小米在印度的 6.1 亿美元资金已因非法汇款指控被冻结,其市场份额也从高峰时期的 31% 降至 12%。

    路透社

    🍀在花频道 🍵茶馆聊天 📮投稿
    🤣 195 🤨 78 🤪 15 ❤️ 9 👍 6 😁 5 🤔 2
  5. Google 限制 Antigravity 平台访问,指控 OpenClaw 用户“恶意使用”

    Google 以“恶意使用”为由,限制了开发者对其 Antigravity 平台的访问。Google DeepMind 工程师 Varun Mohan 表示,部分用户通过开源 AI 代理 OpenClaw 调用过量 Gemini token,导致系统服务降级并影响其他客户。

    受此影响,多名将 OpenClaw 关联至 Gmail 的用户反馈其 Google 账号访问受限。OpenClaw 创始人 Peter Steinberger 随后宣布将停止支持 Google 平台。Google 称目前正尝试恢复受影响用户的访问权限,但强调此举旨在保护服务器负载。

    VentureBeat

    🍀在花频道 🍵茶馆聊天 📮投稿
    😁 224 🤪 29 👎 20 ❤️ 14 🤣 8 👍 3
  6. 传音旗下 Tecno 发布模块化概念手机,支持磁吸扩展多种功能模块

    传音旗下的中国手机品牌 Tecno 在 MWC 2026 前夕展示了名为“模块化磁吸互联技术”的概念手机。该设备基座厚度仅 4.9mm,通过磁吸架构及 Wi-Fi、蓝牙、毫米波技术与外部模块连接。目前已开发运动相机、长焦镜头及离网通信工具等 10 款扩展模块。与谷歌 Project Ara 不同,Tecno 方案更侧重于功能插件的灵活组合而非核心硬件更换。公司将其定位为长期设计研究项目,暂未公布量产及定价计划。

    9To5Google

    🍀在花频道 🍵茶馆聊天 📮投稿
    1 🤯 213 👍 99 👾 20 ❤️ 12 😁 9 👎 3 😍 3 🥰 2
  7. 韩国拟下调未成年人刑事责任年龄,总统要求两个月内作出决定

    韩国总统李在明 2 月 24 日指示政府部门,就是否下调未成年人刑事责任年龄征求民意,并要求相关部门在两个月内作出决定。根据韩国现行法律,14 岁以下人群不承担刑事责任。韩国法务部提议将该年龄标准降至 13 岁,以应对青少年犯罪激增现状。数据显示,2024 年韩国 10 至 14 岁犯罪人数超过 2 万人,较 2022 年增长 26.6%。韩国女性家庭部对此持谨慎态度,认为不能仅靠调整年龄解决问题。

    新华社

    🍀在花频道 🍵茶馆聊天 📮投稿
    👍 349 🫡 26 🎉 6 😁 5 ❤️ 4 👎 4 🌚 4
  8. 中国科学院将停止支付 Nature Communications 等 30 余种高价期刊论文处理费

    中国科学院( CAS )拟于 2026 年 3 月 1 日起施行新规,禁止科研人员使用院内经费支付 30 多种高收费国际开放获取( OA )期刊的论文处理费( APC )。受影响期刊包括 Nature Communications 、 Cell Reports 及 Science Advances 等,其单篇 APC 均不少于 5000 美元,远超约 2000 美元的全球均价。

    此举旨在控制科研成本并提升本土期刊发展。新规下,科研人员若无其他资金来源,在 Nature 等混合期刊发表论文时需选择非 OA 模式以减免费用。

    Science

    🍀在花频道 🍵茶馆聊天 📮投稿
    👍 272 🤣 81 👌 14 👎 8 ❤️ 6 😁 6
  9. 科技圈🎗在花频道📮
    🚘 特斯拉正在开发 🍏 Apple CarPlay 支持以提振汽车销量 据知情人士透露,特斯拉正在为其车辆开发 Apple CarPlay 系统支持,这是客户最迫切要求的功能之一。该公司已开始内部测试这一功能,计划在未来几个月内推出,但具体发布时间尚未最终确定。 这标志着特斯拉和 CEO 马斯克的重大转变,此前他们长期忽视用户对 CarPlay 功能的呼声。麦肯锡 2024 年研究显示,约三分之一的买家表示缺乏 CarPlay 或 Android Auto 支持会影响购车决定。特斯拉计划在其界面内以窗口形式集成…
    Tesla 代码披露 CarPlay 集成细节,或随 iOS 26 推出

    Tesla 车机代码最新披露了 CarPlay 的集成细节。该功能将以沙盒窗口形式运行,而非全屏覆盖,以确保 Tesla 原生 UI 和 Autopilot 界面持续可见。针对此前 Apple Maps 与 FSD 的导航冲突,双方已通过 iOS 26 的新 API 达成兼容。

    受 VRAM 显存需求限制,该功能仅支持搭载 Ryzen 或 AI4+ 芯片的新款车型,不支持 Intel 芯片。为确保系统稳定性,该功能的正式发布预计将配合 iOS 26 的推广节奏进行。

    Tesla Newswire

    🍀在花频道 🍵茶馆聊天 📮投稿
    1 👍 158 ❤️ 9 😁 4 👎 3
  10. 科技圈🎗在花频道📮
    14 岁初中生 6 天打通《迷你世界》与 Minecraft 跨平台联机 一名 14 岁初中生称用手机上的 ZeroTermux 逆向《迷你世界》登录与进服协议,并用 gophertunnel 实现基岩版协议转发翻译,从而实现《迷你世界》与 Minecraft 的跨平台联机。 目前已支持方块显示、聊天互通、移动与挖掘等基础功能;但由于双方对 x 轴的定义不同,出现了“方块镜像”等问题,且仍有大量功能尚未完善。此前他还曾实现将《迷你世界》存档转换为《我的世界》存档,方块映射表多达 1000+ 项。 哔哩哔哩/是只耶吧…
    迷你世界与 Minecraft 跨平台联机视频被下架

    哔哩哔哩认定由于视频内容全程存在涉及破解软件、硬件的推广、售卖、教学等修改建议,发布含有绕过正版验证、破解授权机制、引导用户获取/使用破解工具等可能涉及非法获取软件服务、侵犯知识产权的片段内容(包括但不限于画面、素材、文字、音声等)。

    哔哩哔哩将对威胁到网络技术服务稳定和网络信息安全的行为予以严惩,确保广大用户的合法权益不受到侵害。

    哔哩哔哩/是只耶吧(已不可用) | 频道补档

    🍀在花频道 🍵茶馆聊天 📮投稿
    🤣 716 👎 65 😁 17 🤯 14 👍 6 ❤️ 3 😱 3 🫡 3
  11. Uber 员工使用 CEO AI 克隆进行汇报预演

    Uber 首席执行官 Dara Khosrowshahi 近日透露,公司部分团队开发了名为“Dara AI”的数字克隆,用于在向其本人正式汇报前进行演示预演。该 AI 工具可协助员工微调幻灯片及演讲细节。Khosrowshahi 在播客节目中表示,虽然 AI 能处理海量数据,但在基于实时新信息进行决策方面仍面临挑战,目前尚无法完全取代高管职能。

    目前 Uber 约 30% 的程序员已成为 AI 深度用户。Khosrowshahi 指出,若 AI 能够显著提升工程效率,公司未来可能会优先增加 GPU 等算力资源投入,而非单纯扩张工程师员额。

    Business Insider

    🍀在花频道 🍵茶馆聊天 📮投稿
    🆒 106 👻 18 🗿 7 ❤️ 6 👍 1 😁 1 👾 1
  12. 科技圈🎗在花频道📮
    中芯国际 N+3 工艺制造麒麟 9030 芯片,向 5nm 技术迈进 TechInsights 最新分析显示,华为麒麟 9030 应用处理器采用中芯国际 N+3 工艺制造,这是该代工厂在早期 N+2(7nm 级)技术基础上的缩放演进版本。 尽管中芯国际在基于 DUV 的图案化和 DTCO 技术方面实现了显著创新,但 N+3 工艺在绝对规模上仍远不及台积电和三星的 5nm 工艺。该工艺预计将面临重大良率挑战,特别是在使用 DUV 多重图案化技术激进缩放金属间距方面。 TechInsights 🍀在花频道…
    中国主要芯片商拟大幅扩产先进半导体,应对 AI 需求增长

    据日经新闻报道,中芯国际、华虹半导体及华为关联芯片商正计划扩大 7 纳米及 5 纳米制程产能。消息人士称,中国拟在 1 至 2 年内将先进芯片月产量从不足 2 万片提升至 10 万片,并设定 2030 年新增 50 万片产能的目标。

    此外,除 3440 亿元的大基金三期外,决策层拟另设 2000 亿至 5000 亿元的专项资金,以应对美国技术管制并支持国内 AI 产业需求。

    联合早报 | 日经新闻

    🍀在花频道 🍵茶馆聊天 📮投稿
    👍 184 😨 23 🤣 14 👎 5 😁 4 ❤️ 3 1
  13. OpenAI 为 Responses API 增加 WebSocket 支持,长链条任务提速 40%

    OpenAI 宣布为其 Responses API 引入 WebSocket 模式,专门针对涉及频繁工具调用的复杂工作流进行优化。该模式通过建立持久连接并支持增量输入,可将包含 20 次以上工具调用的长链条任务执行速度提升约 40%。此外,WebSocket 模式兼容零数据保留(ZDR)规范,支持利用 previous_response_id 实现低延迟的上下文续接。目前单次连接时长限制在 60 分钟以内。

    OpenAI

    🍀在花频道 🍵茶馆聊天 📮投稿
    👍 134 👻 5 🤔 3 ❤️ 2 😁 2 👎 1
  14. Spotify 联合 Liquid Death 推出骨灰盒造型限量版蓝牙音箱

    Spotify 联合饮用水品牌 Liquid Death 推出名为 Eternal Playlist Urn 的限量版无线蓝牙音箱。该产品采用骨灰盒造型,售价 495 美元,目前在美国市场限量发售 150 个。

    该音箱在盖部内置蓝牙播放模块。用户可通过 Spotify 平台的互动问答,结合个人听歌历史生成定制的“永恒歌单”(Eternal Playlist)并同步至设备播放。这是 Spotify 继 2022 年与宜家(Ikea)合作推出灯具音箱后的又一次硬件跨界尝试。此前,Liquid Death 曾以 6.82 万美元拍卖成交过一款雪人棺材造型的冷藏箱。

    TechCrunch

    “死了都要听”


    🍀在花频道 🍵茶馆聊天 📮投稿
    🤣 368 🌚 70 👻 31 👎 9 😇 8 😁 7 💯 5 🤔 4
  15. 科技圈🎗在花频道📮
    马斯克星链全球用户突破 800 万,平均日增 14250 个新用户 马斯克的卫星互联网服务星链(Starlink)宣布,其全球用户数量已突破 800 万,服务覆盖全球超过 150 个国家和地区。据报道,这距离星链用户数量突破 700 万过去不到三个月,自达到 700 万用户以来,星链平均每天增加 14250 个新用户,增长率比两个月前高出 17%。 目前星链卫星发射总数已超过 1 万颗,仍在轨运行的有 8600 多颗。SpaceX 在 11 月 3 日完成了 2025 年的第 100 次星链卫星发射,今年还计划进行…
    微软提前实现 2.5 亿人联网目标,并宣布与 Starlink 展开合作

    微软在 MWC 前夕宣布,已提前超额完成于 2022 年设定的全球互联网普及目标。截至目前,微软已为全球超过 2.99 亿人提供网络覆盖,其中非洲地区占 1.24 亿,超过了原定 2.5 亿人的承诺。

    公司同时宣布与 Starlink 达成合作,通过低轨道卫星技术增强偏远及农村地区的数字接入能力。该计划旨在构建“AI 就绪社区”,目前已在肯尼亚等国通过 450 个社区枢纽开展试点。

    Microsoft On the Issues

    🍀在花频道 🍵茶馆聊天 📮投稿
    😁 104 👍 41 ❤️ 7 👨‍💻 5 👌 2
  16. 科技圈🎗在花频道📮
    上海调整房地产政策,外环外购房不再限套数 上海市于 8 月 25 日宣布优化房地产政策,并于 8 月 26 日起施行。新政核心内容为,符合条件的居民家庭,包括本地户籍及缴纳社保或个税满 1 年的非本地户籍家庭,在上海市外环以外区域购房不再限制套数。 配套措施还包括:提高公积金贷款额度并支持提取用于支付首付、商业性个人住房贷款利率不再区分首套与二套,以及完善对非本市户籍居民家庭的房产税政策。 新华网 🍀在花频道 🍵茶馆 📮投稿
    上海发布“沪七条”优化房产政策,放宽非沪籍购房限制

    上海市 2 月 25 日发布《关于进一步优化调整本市房地产政策的通知》。新政将非沪籍居民在外环内购房的社保或个税年限缩短至 1 年;缴纳满 3 年者可在外环内增购 1 套住房。此外,持《上海市居住证》满 5 年者购房无需提供社保证明。非沪籍居民连续缴纳社保或个税满 1 年后,在外环外购房不再限制套数。

    人民日报

    🍀在花频道 🍵茶馆聊天 📮投稿
    🤣 315 😁 41 👎 12 👍 10 🥱 4 ❤️ 3 🤪 3 🌚 1
  17. 蓝箭航天朱雀三号计划 2026 年第二季度再次开展回收试验

    蓝箭航天在联合国外空委会议期间宣布,朱雀三号重复使用液氧甲烷运载火箭计划于 2026 年第二季度再次开展回收试验。该型号曾于 2025 年 12 月 3 日进行首飞验证,但在着陆阶段因异常燃烧未能实现软着陆。

    研制团队目前正优化着陆流程,若第二季度试验成功,争取在同年第四季度实现首次回收复用飞行,将回收的一子级应用于后续发射任务。朱雀三号配备有反作用控制系统、栅格舵与着陆支腿,旨在实现一子级垂直返回与再利用。

    央视新闻

    🍀在花频道 🍵茶馆聊天 📮投稿
    👍 176 🤣 16 ❤️ 8 👎 8 🥱 7 😁 4 👏 2 😱 2
  18. 科技圈🎗在花频道📮
    🤖 Anthropic 披露多家中国 AI 实验室对 Claude 发起大规模蒸馏攻击 Anthropic 近日发布报告,披露 DeepSeek、月之暗面(Moonshot AI)及 MiniMax 曾利用欺诈账户和代理服务,对 Claude 模型发起大规模“蒸馏攻击”。 这些实验室创建了超过 24,000 个虚假账号,并与 Claude 进行了超过 1,600 万次对话交互,从而提取其能力,用于训练和提升他们自己的模型。 Anthropic 指出,这种非法蒸馏规避了安全监管与出口管制,正通过行为指纹识别等技术加强防御。…
    Claude Sonnet 4.6 在中文对话中自称为 DeepSeek

    社交媒体用户 stevibe 披露,Anthropic 旗下的 Claude Sonnet 4.6 模型在回答中文提问“你是什么模型”时,自称为“DeepSeek”。

    此前,Anthropic 曾公开指责 DeepSeek 对其进行“工业规模的蒸馏攻击”。目前,该模型在中文语境下的身份认知偏差引发了技术社区对大模型训练数据来源的关注。

    stevibe

    🍀在花频道 🍵茶馆聊天 📮投稿
    1 🤣 1.01K 😁 62 🤪 13 👍 6 👎 6 🥰 6 🎉 4 🥱 4
  19. Unity 据报考虑出售中国业务,估值或超 10 亿美元

    据知情人士透露,总部位于旧金山的 Unity Software 正与顾问合作,评估市场对其中国业务的兴趣,估值目标或超 10 亿美元。目前相关磋商仍在进行中,尚未达成任何最终协议。

    Unity 旗下的跨平台游戏引擎广泛应用于《原神》《王者荣耀》等知名作品。受此消息影响,Unity 周二股价一度上涨 6.9%。今年以来,该公司股价已下跌逾 60%。Unity 官方对此拒绝置评。

    Bloomberg

    🍀在花频道 🍵茶馆聊天 📮投稿
    👎 154 🤯 44 💊 24 😱 6 👏 5 ❤️ 3 👍 3 🥴 3
  20. 科技圈🎗在花频道📮
    苹果推出新版 App Store 年龄分级系统 苹果今日通知开发者,将在现有 4+ 和 9+ 分级基础上新增 13+、16+ 和 18+ 三个年龄等级,以配合即将推出的扩展家庭工具功能。所有应用已根据开发者此前填写的年龄分级问卷自动重新分配等级,新分级已在 iOS 26 等系统的最新测试版中生效。 苹果要求开发者在 2026 年 1 月 31 日前完成新版年龄分级问卷,涵盖应用内控制、功能特性、医疗健康话题及暴力主题等内容。逾期未完成的应用将无法在 App Store Connect 中更新。 9to5Mac…
    苹果发布新年龄验证工具,以遵守多国及美国部分州法律

    苹果公司于 2 月 24 日披露其新开发的年龄验证工具详情,旨在协助开发者满足澳大利亚、巴西、新加坡以及美国犹他州和路易斯安那州等地的法律要求。在澳大利亚、巴西和新加坡,用户须经 App Store 自动确认或通过其他合理方式核实年龄后,方可下载 18+ 分级应用。

    此外,苹果通过 Declared Age Range API 向开发者提供新信号,包括用户是否受年龄监管约束及是否需要家长许可进行重大更新。犹他州和路易斯安那州的新账户将分别于 5 月 6 日和 7 月 1 日起,在被请求时向应用共享年龄类别。

    The Verge

    🍀在花频道 🍵茶馆聊天 📮投稿
    😁 95 👎 22 😈 4 ❤️ 2 👍 1