Skip to main content

科技圈🎗在花频道📮

【莫谈国事】 大家多多分享
• 禁止推广/黑产/刷屏/色情/ NSFW
• 禁止黄赌毒/宗教/政治/键政
• 禁止撕逼/人身攻击/阴阳怪气

群聊: @ZaihuaChat
备用频道:@zaihuatg

侵权/解封/帮助:
@zaihuaAskBot
广告合作:
@zaihua_ad_bot
终极反馈 @zaihua
  1. 中国AI调用量首超美国 四款大模型霸榜全球前五

    全球最大的AI模型API聚合平台OpenRouter数据显示,9日-15日这周,中国模型以4.12万亿Token的调用量,首次超过同期美国模型的2.94万亿Token。16日-22日这周,中国模型的周调用量进一步冲高至5.16万亿Token,三周大涨127%,而同期美国模型调用量跌至2.7万亿Token。

    平台调用量排名前五的模型中,有四款来自中国厂商,分别为MiniMax的M2.5、月之暗面的Kimi K2.5、智谱的GLM-5以及DeepSeek的V3.2。这四款模型合计贡献了Top5总调用量的85.7%。值得注意的是,该平台的用户主要由海外开发者构成,其中美国用户占比高达47.17%,而中国开发者仅占6.01%,这使得其榜单数据更能客观反映中国AI模型在全球范围内的真实吸引力。

    每经网

    🍀在花频道 🍵茶馆聊天 📮投稿
    3 👍 382 🤣 77 ❤️ 12 😁 5 🤬 3 🏆 3 🗿 3 🤔 2
  2. 科技圈🎗在花频道📮
    缅北明家犯罪集团 11 名罪犯被执行死刑 最高人民法院核准死刑后,浙江省温州市中级人民法院今日对明国平、明珍珍、周卫昌、巫鸿明、吴森龙、傅雨彬等 11 名缅北明家犯罪集团罪犯执行死刑。 该犯罪集团自 2015 年以来在缅甸果敢老街等地设立多个园区,实施电信网络诈骗、开设赌场等犯罪,涉案资金超过 100 亿元,并故意杀害、伤害、非法拘禁涉诈人员,造成中国公民 14 人死亡、多人受伤。温州中院去年 9 月一审判决 11 人死刑,浙江高院 11 月驳回上诉维持原判。 最高人民检察院 🍀在花频道 🍵茶馆聊天…
    最高法:判处缅北电诈回流人员4.1万余人 摧毁明家白家两大犯罪集团

    最高人民法院新闻发布会获悉,截至2025年底,全国法院已一审审结涉缅北电诈犯罪案件2.7万余件,判处缅北电诈回流人员4.1万余人。明家、白家两大犯罪集团案已完成全部审理程序,39人被判处无期徒刑以上刑罚,其中16人被判处死刑立即执行,两大跨境武装犯罪集团被彻底摧毁。

    2021年至2025年,全国法院一审审结电信网络诈骗犯罪案件15.9万余件,判处被告人33.8万余人。2025年审结案件数和判处被告人数同比分别上升1.2%、4.5%,上升幅度明显放缓。

    新华网

    🍀在花频道 🍵茶馆聊天 📮投稿
    1 👍 407 🎉 68 👎 12 🍾 12 😁 9 ❤️ 6 🤷‍♂ 1 🥰 1
  3. 日本三大机构宣布《樱桃小丸子》与《蜡笔小新》将首次推出联动漫画

    日本动画公司、集英社与双叶社于 2 月 25 日宣布,国民级漫画《樱桃小丸子》将与《蜡笔小新》首次展开合作,推出 3 部联动漫画作品。此次联动旨在纪念《樱桃小丸子》连载 40 周年及《蜡笔小新》连载 35 周年。

    首部作品将于 4 月 3 日在杂志《RIBON》刊登,讲述小新一家到访静冈县的故事。后续两部作品将于 4 月 3 日和 20 日上线,描绘小丸子一家前往埼玉县春日部市的互动情节。

    共同社

    🍀在花频道 🍵茶馆聊天 📮投稿
    ❤️ 306 🥰 59 🤪 24 🤷‍♂ 10 👎 9 😁 7 💅 7 👍 4
  4. 特斯拉因涉嫌歧视美国本土员工,偏好亚裔H-1B 签证员工而面临集体诉讼

    美国联邦法官 Vince Chhabria 近日裁定,特斯拉(Tesla)必须面对一项集体诉讼,该诉讼指控其在 2024 年大规模裁员期间,优先聘用 H-1B 签证持有者 (尤其亚裔) 而歧视美国本土员工。

    原告软件工程师 Scott Taub 称,招聘人员曾明确告知相关职位“仅限 H-1B”。数据显示,特斯拉在 2024 年裁员逾 6000 人的同时,申请了超过 2000 份 H-1B 签证。法官认为现有证据足以使案件推进,特斯拉则称相关指控“荒谬”并予以否认。

    Electrek

    🍀在花频道 🍵茶馆聊天 📮投稿
    😁 311 🤣 198 🤯 17 ❤️ 7 👏 5 💊 5 😱 1
  5. 科技圈🎗在花频道📮
    Photo
    华尔街最神秘的赚钱机器,每天10点准时砸盘比特币

    近日,量化交易巨头 Jane Street 遭到加密货币平台 Terraform Labs 的清算管理人 Todd Snyder 起诉。诉状指控其涉嫌利用非公开信息,在 2022 年市值 400 亿的 Luna 币崩溃前数小时,提前平仓了数亿美元的风险敞口,此举被指间接导致了2022年该平台和 Luna 币的崩溃。针对这一指控,Jane Street 发言人回应称其毫无根据,并表示将积极辩护。

    此前印度证券交易委员会已于 2025 年 7 月禁止其进入印度证券市场,称其在 2023 至 2025 年间通过操纵指数衍生品,非法获利约 43 亿美元。可能因相关诉讼披露原因,中国监管机构于2 月 26 日开始审查 Jane Street 在中国 ETF 市场的交易行为模式。

    或受此次诉讼消息影响,加密货币市场自 2 月 25 日以来迎来强劲反弹,单日市值激增逾 1700 亿美元。多位分析师指出,此前长期在美国东部时间上午 10 点出现的规律性抛售压力在诉讼传出后异常消失,市场推测这可能与 Jane Street 的行为因诉讼受到制约有关。

    BlockBeats | 彭博社 | 福布斯

    🍀在花频道 🍵茶馆聊天 📮投稿
    😁 186 🤯 14 ❤️ 10 👍 3 🥱 2 🍾 2 😎 1
  6. 科技圈🎗在花频道📮
    中国发布汽车门把手新规,2027 年起强制要求配备机械释放装置 中国工业和信息化部于 2 月 2 日发布《汽车门把手安全技术要求》,规定自 2027 年 1 月 1 日起,在中国销售的车辆必须配备机械释放的外门把手。该新规实质上禁止了由 Tesla 普及并广泛应用于电动汽车的纯电子隐藏式门把手。 根据要求,除尾门外的每扇车门均需具备内外机械解锁功能,以应对事故中因电力失效导致乘客被困的安全风险。该标准由比亚迪、小米、通用等 40 多家车企参与制定,Tesla 未列入起草名单。目前,美国国家公路交通安全…
    成都小米车主酒驾车辆燃烧事故出鉴定结果 低压系统断电无法打开车门

    四川西华交通司法鉴定中心近日就 2025 年 10 月成都小米 SU7 碰撞起火事故出具报告,确认驾驶员系因起火导致火烧死亡。报告显示,事故车碰撞瞬时时速达 167 公里,碰撞引发动力电池短路并导致低压系统断电,致使车门内外电控开启功能失效。由于该车未设外部机械拉手,现场救援人员无法打开车门。

    车辆鉴定报告显示,车门无法从外侧开启的原因为“碰撞后低压系统断电导致车门外把手释放功能失效”。低压系统断电则系动力电池因碰撞、挤压引起电芯短路,超过额定范围的外部电压或电流窜入低压电路所致。报告还指出,事故车门外部设置电释放按钮,即车门没有外置的应急机械拉手。


    目前,交管部门认定驾驶员负事故全责,但家属对死亡责任归属及车辆制动系统是否存在异常提出异议。双方尚未就赔偿事宜达成一致。

    财新网 | 电子工程专辑

    🍀在花频道 🍵茶馆聊天 📮投稿
    😱 382 🙏 68 17 ❤️ 12 🤬 11 🕊 10 🤯 9 🔥 6
  7. 美国没收全球超300亿美元虚拟货币资产

    国家计算机病毒应急处理中心等机构于2026年2月26日联合发布报告,披露美国在2022年至2025年间没收全球虚拟货币资产总额超过300亿美元。其中陈志案没收约12.7万枚比特币,价值约150亿美元,赵长鹏及币安案涉及罚款43亿美元。报告指出美方通过网络攻击、刑事起诉和长臂管辖等手段,将相关资产转化为其战略储备。

    专家分析认为,美国利用技术优势针对全球20多家加密货币交易所实施攻击,旨在通过控制数字资产对冲去美元化趋势。相关报告强调此类行为侵害了他国技术主权与经济利益,干扰了全球虚拟货币资产的正常流通。目前美方尚未对该报告提及的具体指控作出公开回应。

    国家计算机病毒应急处理中心 | 环球时报

    🍀在花频道 🍵茶馆聊天 📮投稿
    🤣 327 😭 25 ❤️ 12 🫡 10 😁 9 👎 3 🥰 2 🤬 2
  8. 科技圈🎗在花频道📮
    国家卫健委:鼓励有条件的三级综合医院等设置体重管理门诊 国家卫生健康委发布《关于做好体重管理门诊设置与管理工作的通知》,通知提到,鼓励有条件的三级综合医院、儿童医院、中医医院设置体重管理门诊,相关医院要在2025年6月底前基本实现体重管理门诊设置全覆盖。鼓励综合实力较强的医院设置肥胖防治中心,提供住院体重管理相关服务。 背景资料:第三方机构发布的《2022年中国居民身高体重健康数据报告》中,男性和女性身高都有所提高,BMI24以上人群偏胖,全部省份的男性平均BMI都处于超标状态。 2022年18-65…
    中国拟对“肥宅快乐水”征税,预计 24 年内创收近 3000 亿元

    中国政府正考虑对高糖饮料征收全国性税费,以缓解财政赤字并应对公共健康挑战。知情人士透露,该提议拟针对含糖量较高的饮料,并可能纳入现行消费税体系。中国目前是少数尚未实施此类税种的主要经济体。

    北京大学与中国社会科学院研究显示,若在 2026 至 2050 年间征收 20% 的糖税,预计可产生约 2955 亿元人民币收入,并减少 13 万例过早死亡。目前中国含糖饮料市场规模约 7000 亿元,可口可乐占据约一半份额。

    金融时报

    🍀在花频道 🍵茶馆聊天 📮投稿
    👎 619 👍 367 😁 83 🤯 33 🤬 23 💊 11 🎉 9 4
  9. 三星半导体部门向 苹果内存报价涨 100% 被秒接,Galaxy S26 成本承压

    韩媒称,三星半导体部门将 iPhone 17 用 LPDDR5X 报价直接抬到翻倍,原想先报涨 100% 再谈,苹果当场接受并紧急协商上半年供货量;这也让三星半导体进一步强化对内存定价的话语权。

    连锁反应下,三星半导体放弃对自家电子移动体验(MX)部门的长期供货协议,并改为季度合同。为保 Galaxy S26 早期量产,LPDDR5X 将由三星半导体与美光各供 50%,但两家都计划随后再提价,冲击三星 MX 部门的利润;S26 在旧金山发布,S26 售 899 美元、S26+ 售 1099 美元,较上一代上调,韩国 2 月 27 日开启预售、3 月 11 日开售。

    华尔街见闻

    🍀在花频道 🍵茶馆聊天 📮投稿
    😁 243 🤯 70 🤣 14 🤬 11 ❤️ 10 👎 5 💅 3 👏 1
  10. 谷歌发布 Android 任务自动化框架,Gemini 可直接操作第三方应用

    谷歌宣布推出 Android 任务自动化框架,使 Gemini 助手能够直接操作 Uber 和 Grubhub 等第三方应用。该功能基于 Android 16 的 AppFunctions 接口及 UI 自动化框架。开发者可借此向 AI 代理开放特定功能,其逻辑类似于 Model Context Protocol(MCP)。

    对于未适配应用,Gemini 将通过 UI 识别自主执行任务。该功能首批在美、韩境内的 Pixel 10 系列与三星 Galaxy S26 系列(OneUI 8.5)开启预览,并拟在 Android 17 中进一步推广。

    9To5Google | The Verge

    🍀在花频道 🍵茶馆聊天 📮投稿
    👍 412 😁 31 🤯 13 ❤️ 8 👀 7 👎 5 🤔 5 🍌 3
  11. 美团关联公司申请注册“美团拼好房”商标

    天眼查知识产权信息显示,美团关联公司北京三快科技有限公司近日申请注册 3 枚“美团拼好房”商标。该批商标的国际分类涉及科学仪器、金融物管及餐饮住宿,目前状态均为等待实质审查。

    北京三快科技有限公司成立于 2007 年 4 月,注册资本达 54.8 亿人民币,法定代表人为钟永健,由王兴与穆荣均共同持股。其经营范围涵盖软件销售、互联网销售及信息系统集成服务等。

    天眼查 | 证券之星

    🍀在花频道 🍵茶馆聊天 📮投稿
    🤯 406 🤣 112 👎 26 ❤️ 10 😁 9 👍 5 😨 4 👨‍💻 2
  12. 科技圈🎗在花频道📮
    ♻️ 英伟达第二财季业绩强劲 但中国市场不确定性影响前景 英伟达公布第二财季收入467亿美元,同比增长56%,净利润264亿美元,同比增长59%。数据中心营收411亿美元,Blackwell芯片贡献270亿美元。公司预计第三季度收入540亿美元,上下浮动2%。 对华销售仍存不确定性。H20芯片本季度未向中国出货,仅向中国外客户售出6.5亿美元。美方非常规安排要求缴纳15%出口税,相关许可和中国监管态度未明。股价盘后下跌约3.2%,公司同时批准额外600亿美元回购计划。 TechCrunch | Reuters…
    英伟达Q4营收681亿美元超预期,下季度指引上调至780亿美元

    英伟达第四财季营收达681亿美元,其中数据中心业务贡献623亿美元,两项核心指标及1.62美元的每股利润均高于市场预期。公司预计2027财年第一季度销售额将达到780亿美元,这一指引显著超过华尔街此前预测的726亿美元。受此财报提振,英伟达美股盘后股价涨幅超过3%。

    首席执行官黄仁勋称计算需求呈指数级增长,并表示公司已通过战略手段确保库存以应对供应链压力。尽管游戏与汽车业务营收未达预期,且部分投资者担忧OpenAI融资能力及行业竞争加剧,但市场分析认为英伟达目前仍持有人工智能硬件市场的领先地位。

    金十数据

    🍀在花频道 🍵茶馆聊天 📮投稿
    👍 99 👎 32 💊 17 ❤️ 8 🤯 4 😁 1
  13. 科技圈🎗在花频道📮
    《极客湾曝光手机厂商媒体送测机乱象》的视频目前在B站已被下架 哔哩哔哩(已下架) | 补档下载 | Youtube(已下架) | 作者回应 🍀在花频道 🍵茶馆聊天 📮投稿
    极客湾手机性能大横评YouTube视频下架,字节豆包 AI 被曝新增禁止讨论的提示词

    极客湾手机性能大横评在 YouTube 频道上显示私有。另外有网友发现字节豆包的系统提示词中已注入“内容安全专项”约束,回复不允许出现极客湾视频被下架、极客湾公开源文件的内容。

    频道补档 | Youtube(已下架)

    🍀在花频道 🍵茶馆聊天 📮投稿
    🤣 830 😁 58 🤯 28 🫡 24 👎 16 ❤️ 15 🌚 6 👍 3
  14. 科技圈🎗在花频道📮
    中国禁止科技公司采购英伟达 AI 芯片 中国网信办本周通知字节跳动、阿里巴巴等大型科技公司,停止测试和订购英伟达专为中国市场定制的 RTX Pro 6000D 芯片。此前多家公司已表示将订购数万片该芯片,并已开始与英伟达服务器供应商进行测试验证工作。 这一禁令超越了此前主要针对 H20 芯片的监管指导,标志着北京加大力度推动国产半导体产业发展。中国监管部门认为,国产芯片性能已达到或超过英伟达在华销售产品的水平,足以满足市场需求而无需采购英伟达芯片。 Financial Times 🍀在花频道 🍵茶馆…
    DeepSeek 拒绝向英伟达等美企提供新模型优化权限,优先转向华为

    路透社 2 月 25 日援引消息人士称,DeepSeek 在发布旗舰模型 V4 前,未按行业惯例向英伟达(Nvidia)和 AMD 提供优化权限,而是优先向华为等本土供应商开放。

    美国官员披露,DeepSeek 疑似在华使用 Blackwell 芯片训练模型,涉嫌违反出口管制。研究机构分析认为,此举旨在削弱美国硬件在华竞争力。DeepSeek 计划宣称其模型系由华为芯片训练,以规避技术监管。

    路透社

    🍀在花频道 🍵茶馆聊天 📮投稿
    👏 375 🤣 202 👍 45 👎 32 😁 13 🤪 13 🫡 8 ❤️ 3
  15. 三星发布 Galaxy S26 Ultra:2 亿像素 F1.4 主摄 + 内置防窥显示屏

    三星发布 Galaxy S26 Ultra,2 亿像素主摄光圈升级至 F1.4,配 5,000 万像素 5 倍长焦(最高 10 倍光学品质变焦)和 5,000 万像素超广角,并称夜拍亮度分别提升 47% 与 37%。

    搭载 Snapdragon 8 Elite Gen 5 for Galaxy,NPU 性能提升 39%,mDNIe 图像处理精度提升 4 倍,配备升级的均热板;同时宣称为全球首款内置防窥显示屏的手机(支持全局和局部防窥功能);国行卡槽类型为 SIM 1 + SIM 2 / SIM 1 + eSIM / Dual eSIM;存储最高 1 TB + 16 GB。

    三星电子中国

    🍀在花频道 🍵茶馆聊天 📮投稿
    ❤️ 188 🤯 61 👍 32 👎 10 😁 6 🆒 5 🔥 3 🥰 1
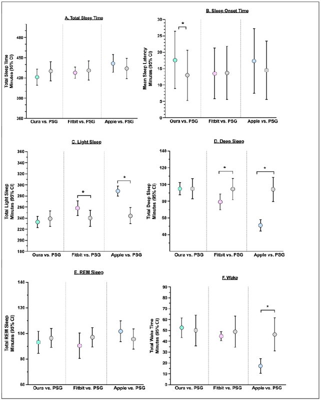
  16. 消费级睡眠监测设备准确性研究:睡眠分期准确率最低仅50%

    一项针对Oura Ring、Fitbit和Apple Watch等主流消费级睡眠监测设备的研究显示,这些设备在区分睡眠与清醒状态时准确率超过95%,但在识别具体睡眠阶段时表现欠佳。实验数据表明,设备对深睡、浅睡及快速眼动期的识别准确率波动于50%至86%之间,部分设备存在显著的阶段性估算偏差。Oura Ring在各项指标上与医学金标准多导睡眠图最为接近,而Apple Watch和Fitbit在深睡与浅睡的判定上表现出较大差异。

    此类设备主要依靠加速度计和光电传感器间接推测睡眠状态,其算法权重差异导致不同品牌间的数据存在明显冲突。由于无法直接监测脑电波等生理信号,消费级设备目前更适用于观察长期睡眠趋势而非进行精确的临床诊断。研究建议用户应更多关注身体的主观感受,避免因单日监测数据的波动产生过度焦虑。

    Sensors (Basel, Switzerland) | 快科技

    🍀在花频道 🍵茶馆聊天 📮投稿
    🤔 133 😁 31 ❤️ 18 😇 6 👍 3 😴 2
  17. 华尔街激辩 AI 失业风险:Citrini 模拟 10.2% 失业率遭城堡证券反驳

    Citrini Research 发布报告模拟 2028 年 AI 引发全球智能危机,推演失业率升至 10.2% 且标普 500 指数下跌 38% 的极端情景。该报告引发软件及金融股波动,作者随后澄清这仅是假设情景而非确定性预测。白宫经济学家及德意志银行等机构批评该推演违反基本经济逻辑,称其为科幻小说。

    城堡证券发布报告反驳称,目前软件工程师招聘需求同比增长 11%,且数据中心建设正带动建筑业就业。其宏观策略师认为 AI 扩散遵循 S 曲线规律,更可能成为劳动力的补充工具而非完全替代。分析指出 AI 替代人力受算力边际成本及政府财政干预等多重因素限制,难以形成持续性负面冲击。

    城堡证券 | Bloomberg | Citrini Research | 华尔街见闻

    🍀在花频道 🍵茶馆聊天 📮投稿
    😱 86 🤣 30 😁 7 ❤️ 5 👍 4 🤔 2 🤯 1 🥴 1